icon picker
AR Carbon Accounting

Click the page icons directly below for source data on each year for a comparison

Overview:

We estimate that the use of AR to remotely resolve technical support issues in 2022 saved approximately
844.47
kg CO2e. A breakdown of this calculation and how we estimated this is as follows.
CO2e Saved in 2022 with AR
Event
Nights
Miles
Carbon Saved (kg CO2e)
Note
3
539
170.9
Engineer to training venue and back
0
210
48.18
Engineer to customer and back
0
52
13.06
Instrument shipped to MAN airport by courier
0
326
73.96
Instrument shipped from JFK to manufacturer and back
0
575
129.31
Instrument shipped MAN to JFK by air - calculation
0
296
67.3
Engineer to customer and back
2
602
168.88
Engineer to customer and back
2
620
172.88
Engineer to customer and back
There are no rows in this table
844.47
Sum

Calculation Method:

Travel Calculations:

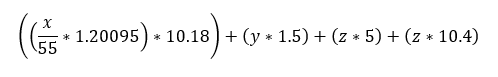
kg CO2e (equivalent of kg CO2) has been calculated using the following formula:
image.png
Where x = The number of miles travelled to site
This assumes an average of 55 miles to the UK gallon of efficiency (our engineers still run diesel so we’ve found this figure to be representative). It then converts to US gallons before using the US EPA’s estimate of 10.18 kg of CO2e per US gallon on diesel:

Calculation of Meal Impacts:

Daily Meal:
The impact of additional meals is more complex: Engineers generally eat a take away sandwich when on the road, plus drink and snack. We add that in for every day of travel. A University of Manchester study estimated that the worst sandwich you could buy (an all day breakfast) had a carbon footprint of 1.44 kg CO2e. Since 8.5% of this figure represents packaging, and an additional 4% represents transportation and refrigeration, we think that a figure of 1.5 kg of CO2e per day of travel would be a realistic estimate which covers a sandwich, drink and snack e.g. bag of crisps. So, if a visit takes a single day then we add 1.5kg CO2e, if it takes more than one day (with an overnight stay) then we assume two travel days and add 3kg CO2e.
Espinoza-Orias, N., & Azapagic, A. (2018). Understanding the impact on climate change of convenience food: Carbon footprint of sandwiches. Sustainable Production and Consumption, 15, 1-15. https://doi.org/10.1016/j.spc.2017.12.002
image.png
Where y = The the number of commuiting days

Evening Meal:
Any visit with an overnight stay would also include an evening meal. An average figure for evening meals was even more difficult to obtain. We used the following sources to estimate a full meal, including a drink and a starter / dessert might average out at 5 kg CO2e:
image.png
Where z = The the number of overnight stays

Overnight Stay Calculations:

Finally, to estimate the impact of overnight hotel stays by engineers on the road, we also included additional factors which take into account an additional meal and stay. Estimating the impact of hotel stays seems to be highly variable but DEFRA do provide a figure for this within the UK (10.4 kg COe):

image.png



Want to print your doc?
This is not the way.
Try clicking the ⋯ next to your doc name or using a keyboard shortcut (
CtrlP
) instead.