Skip to content

FINAL PANIC TIME

E1 and E2

Introduction and the Key Pattern

Elimination Reactions Often Accompany Substitution Reactions

image.png

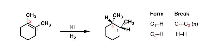
alkenes to alkyl halides: what bonds form and break?

image.png

Elimination Reactions: The Key Bond Forming/Breaking Pattern

note the key pattern: in each case we’re forming a new c-c pi bond and breaking two single bonds to carbon
This is completely different that acid base/ substitution reactions because it involves two adjacent carbons. This is an acid-base reaction, so one componnet of the elimination reaction will involve a strong base
We also break a bond between carbon and a leaving group. Remember that the best leaving groups are weak bases.
The new information is that were are forming a c-c pi bond in addition to what has been stated above about the mechanism.
reactants: substrate + base
Product: major product, conjugate acid, and leaving group
image.png
image.png
image.png

The E1 Reaction

image.png
First look at the bonds that are being formed and broken
The rate of the E1 mechanism only depends on the concentration of the substrate(not base)
image.png
The rate is fastest for tertiary substrates
image.png
image.png

E2 Mechanism

image.png
The rate depends on concentration of both substrate and base
image.png
stereochem:

Want to print your doc?
This is not the way.
Try clicking the ··· in the right corner or using a keyboard shortcut (
CtrlP
) instead.