Skip to content

Tweet thread draft template

Use this template to draft Tweet threads for socializing with the team.
Use this doc as a custom template to draft Tweet threads and get approvals.

Clear thread
The Crazy History of Maxime Bernier
Interesting Globalist History of Maxime Bernier
Count
Image
Link
Some early History on Maxime Bernier 1986 Michel Gravel charged with bribery for pocketing party funds, at inquiry he accused Roch La Salle, Gilles Bernier & Richard Grisé June 1990 Gilles Bernier & Richard Grisé, were charged with 4 counts of Fraud over $1K & breach of trust.
277
62030479_10211259220435807_7520935111974453248_n.jpg
They hired each other’s sons on CPC $. Grisé gave up his seat & plead guilty, Gilles was acquitted although the judge said there was no doubt the crime was committed. In exchange for no politicking, Chretien sent to be as ambassador to Haiti. Bernier’s education = funded by Fraud
280
Screenshot_5 (2).png
1995 he supported Quebec independence in the referendum. “I was separatist, I must have voted yes. I voted ‘yes,’ I have no problems with that,” He wanted Quebec to separate from Canada yet wants to lead it nationally?
220
download.png
To add further insult ot injury on how far he will flip flop... U.S. Bush administration allies want Canada along with francophone Quebec "erased" by 2010 - Canada's mass-media elites ignores U.S. neo-conservative expansionist goals
233
blank_tradingcard (2) (1).jpg
Maxime & father worked were tight with Canaam Group/Dutil Family of the LIBERAL think tank Montreal called "The Federal Idea" which promotes federalist movement linked to democracy without borders - SOROS Dutils financed Hillary Clinton Campaign Bob Rae & Bernier
264
canaam2.jpg
96-98 Bernier, legislative advisor to Bernard Landry, Deputy Premier to Lucien Bouchard. He established the Socio Economic Summit of 1996 that schemed up the SOCIAL ECONOMY, its primary objective in fulfilling the Libertarian vision of global communism! Max was THEIR ADVISOR!

277
bernier socio economy 1.png
Cash Flowed to CLINTON FOUNDATION - just another coincidence...
63
64832459_10211379708727939_3708540475813134336_n.jpg
Johanne Mennie’s involvement with Tides Canada. As Minister of Industry who managed the SSHRC and HRSDC, what was Maxime Bernier’s involvement with Tides Canada and why would he start a Freedom party with a communist heavily involved with Soros/Tides?
252
GeqN-UBs.jpg
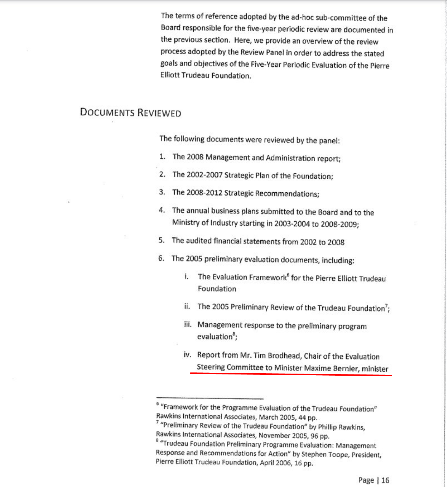
In 2005 Minister Bernier received the Trudeau Foundation Report from Tim Brodhead, Executive Chair of the Evaluation Steering Committee
135
Trudeau Foundation.png
2006The HRSDC (Human Resources and Social Development Canada) & Social Studies Humanities Research Council were governed under the Min of Industry, Berrnier. On March 2006, he published a review of the SSHRC praising the merits of the social economy. Social economy = Communism.
278
Screenshot_3.png
89, Desmarais sold Consolidated-Bathurst, which benefited generously tax $ subsidies over the years, for $2.6 billion to US investors. The sale of Montréal Trust later followed for some $550 million: Thus, Paul ripped-off $3 billion in natural resources from the people of Quebec.
280
desmarais bouchard.png
1997 - Bernier was director of corporate relations for the Quebec Securities Commission and was fired, after clashing with a new president. “That was a real firing,” he says.
174
blank_tradingcard (5) (1).jpg
Michel Kelly-Gagnon, with whom Mr. Bernier once plotted a right-wing makeover for Quebec when they worked together at the Montreal Economic Institute. again Helene Desmarais who worked there at the time. Planted into the Harper Gov to appease Mulroneys players.
261
Michael kellygagnon.png
In 2005 Maxime Bernier was executive-President of the Montreal Economic Institute, working alongside Hélène Desmarais.

120
desmarais benier MEI 2005.png
SPP, NACC, NAU RE BORDERS & Bernier
35
bordersbernier1.png
The prelude to the UN/NWO similar to the EU was the creation of the North American Union (NAU), the Security & Prosperity Council (SPP) and the North American Competitive Council, (NACC)
187
66127694_10211403215435592_3541772101209817088_n.jpg
Fenced CRTC, deregulated telecoms and is the reason we pay $1000.00 more than any other country...
98
61482403_10211257724798417_4954231964048556032_n.jpg
GNEP Global Nuclear Energy Project (more on this in a later thread) #ROSATOM #GNEP #Bush As Minister of Foreign Affairs Bernier was ultimately in oversight and another step of his toward GLOBALISM
197
GNEP.jpg
Wendy Mesley questioned Maxime Bernier about his connections to the Koch brothers through the Montreal Economic Institute, which is supported by the Atlas Network.
163
Bernier, an avowed supporter of Quebec independence, now is taking shots at his home province. This was Bernier's ongoing campaign to rehabilitate his reputation in the eyes of Conservatives after stepping down in disgrace as foreign affairs minister in 2008.
259
64779943_10211379682207276_7426450096364978176_n.jpg
2008 WEF
8
FXAKcKkXEAEiWre.jfif
Feb 2008, $555 Million donation to Haiti.
41
8 ch Screenshot_8.png
Bernier advancing another Globalist step toward NAU.
52
civil society .jpg
“I’d Like to be the Canadian Macron”
36
macron socialist.jpg
2013 Strandberg funded a meeting with Tides and Vancity in April 26 2013
73
tides1.jpg
Bernier and China’s dreams fulfilled.
38
bernier china1.png
Oct 2012 Maxime fighting in HOC for CCP’s CNOOK takeover of our NEXEN! So who the hell fights & so passionately for the sale of our ANYTHING to CCP and who side is he really on, really please read.
198
Screenshot_2.png
More on Bernier selling us out with the CCP’s CNOOOK/NEXEN. Anyone believe he could possibly deal with China any differently than Trudeau is on serious drugs or hopium.
169
v3.png
July 15, 2013 November 4, 2015 Minister of State (Small Business and Tourism, and Agriculture)
95
Bernier_Shpir_Shymko.jpg
Twice Bernier towed NATO’s line in two positions more than once . Wonder if Russia believes word out of his his incompetent mouth anyway?
137
Screenshot_2 (4).png
Odds & Ends for fun on our biggest poster boy for controlled opposition in Canada.
83
bernier cina 2.png
Some of Maxime voting history to note:
38
Fb2Nr_NaAAAV1zy.jfif
There are threads just as long that I could create on a few topics but these cover his early days. Not all links provided, some scrubbed, type the words from the text jpgs & search on Hansard or google. BTW - this is only part 1 of my revenge for being falsely reported to tweeter
280
313425367_668852454688491_5641448895299522714_n (1).jpg
There are no rows in this table

Want to use it for yourself?
Copy this doc
Want to create a custom template so you can use /tweet thread or something similar?

Want to print your doc?
This is not the way.
Try clicking the ··· in the right corner or using a keyboard shortcut (
CtrlP
) instead.