Projets

icon picker
Partie 4

Dimensionnement des tuyauteries
Last edited 126 days ago by Mathieu _24.

Introduction

open-book
Il faut avoir de bonne base en Excel pour pouvoir suivre et des bases en VBA (Visual Basic)
Il faut avoir connaissance de la notion de point de saturation
Il faut connaitre REFPROP
Connaissances :
Calcul de débit - section
Calcul de perte de charge dans une conduite

Explication du process

image.png

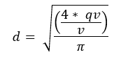
Nous connaissons notre débit volumique et nous fixons une vitesse “limite”.
On peu en déduire rapidement le diamètre minimum :
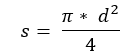
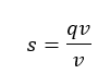
2 équations :
image.png
et
image.png
qv → m³/s | v → m/s | d → m
Ce qui donne :
image.png


info

En construction

Want to print your doc?
This is not the way.
Try clicking the ⋯ next to your doc name or using a keyboard shortcut (
CtrlP
) instead.