A2 DLNN

icon picker
Project Work

info

Assignment 2 Neural Machine Translation with RNN’s


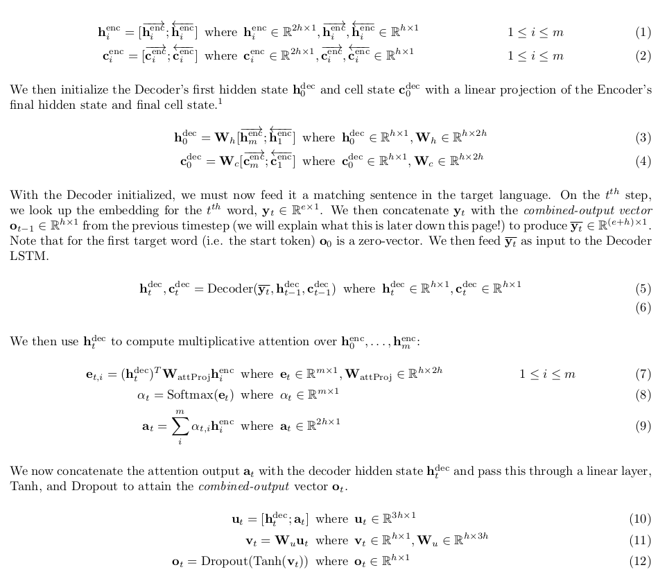
image.png
image.png


.
.
.


image.png
image.png
...
megaphone

Implemtation

image.png
max_len = max([len(sent) for sent in sents]) # or max_len = max(map(len, sents))
sents_padded = [sent + [pad_token] * (max_len - len(sent)) for sent in sents]
(a)
image.png
self.source = nn.Embedding(len(vocab.src), embed_size, padding_idx=src_pad_token_idx)
self.target = nn.Embedding(len(vocab.tgt), embed_size, padding_idx=tgt_pad_token_idx)
(b)
self.encoder = nn.LSTM(input_size=embed_size, hidden_size=self.hidden_size, bias=True, bidirectional=True)
self.decoder = nn.LSTMCell(input_size=embed_size + self.hidden_size, hidden_size=self.hidden_size, bias=True)
self.h_projection = nn.Linear(self.hidden_size*2, self.hidden_size, bias=False) # W_{h}
self.c_projection = nn.Linear(self.hidden_size*2, self.hidden_size, bias=False) # W_{c}
self.att_projection = nn.Linear(self.hidden_size*2, self.hidden_size, bias=False) # W_{attProj}
self.combined_output_projection = nn.Linear(self.hidden_size*3, self.hidden_size , bias=False) # W_{u}
self.target_vocab_projection = nn.Linear(self.hidden_size, len(self.vocab.tgt), bias=False) # W_vocab
self.dropout = nn.Dropout(p=self.dropout_rate)
(c)
image.png

X = self.model_embeddings.source(source_padded) # X.shape (src_len, b, e)
X_packed = pack_padded_sequence(X, source_lengths) # X-packed.shape (src_len, b, e)
enc_hiddens, (last_hidden, last_cell) = self.encoder(X_packed) # enc.hiddens.shape (src_len, b, h*2)
enc_hiddens, len_pad = pad_packed_sequence(enc_hiddens, batch_first=True) # shape (b, src_len, h*2)
init_decoder_hidden = self.h_projection(torch.cat((last_hidden[0], last_hidden[1]), 1)) # shape (b, 2*h)
init_decoder_cell = self.c_projection(torch.cat((last_cell[0], last_cell[1]), 1)) # shape (b, 2*h)
dec_init_state = (init_decoder_hidden, init_decoder_cell)
(d)
image.png

enc_hiddens_proj = self.att_projection(enc_hiddens) # shape (b, src_len, h)
Y = self.model_embeddings.target(target_padded) # shape shape (tgt_len, b, e)
for i in torch.split(Y, 1, dim=0): # torch.split(tensor, split_size_or_section, dim=0), Y_t.shape (1, b, e)
Y_t = i.squeeze(0) # Y_t.shape (b, e), o_prev.shape (b, h), squeeze explicitly at location
Ybar_t = torch.cat((Y_t, o_prev), dim=1) # Ybar_t.shape(b, e+h), torch.cat(tensors, dim=0, out=None)
dec_state, o_t, e_t = self.step(Ybar_t, dec_state, enc_hiddens, enc_hiddens_proj, enc_masks) # dec_state, combined_output, e_t
combined_outputs.append(o_t) # shape (b, h)
o_prev = o_t
combined_outputs = torch.stack(combined_outputs, dim=0) # (tgt_len, b, h)
(e)
image.png
(dec_hidden, dec_cell) = self.decoder(Ybar_t, dec_state)
dec_state = (dec_hidden, dec_cell)
e_t = torch.bmm(enc_hiddens_proj, dec_hidden.unsqueeze(2)).squeeze(2)
(f)
image.png
image.png
....

megaphone

Deliverables

Submit all files within the src/submission subdirectory. This includes:
src/submission/__init__.py
src/submission/model_embeddings.py
src/submission/nmt_model.py
src/submission/utils.py
src/submission/test_outputs.txt
.
.
.

Want to print your doc?
This is not the way.
Try clicking the ⋯ next to your doc name or using a keyboard shortcut (
CtrlP
) instead.