Math In The Real World

icon picker
Guess My Number

Exponents
image.png
, Logarithms
image.png
, and Fast Search
image.png


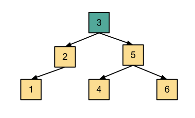
Pick a number, any number, between 1 and 100. Is it 47? 22? 88? 16? 99? How long is it going to take me to guess if I just keep picking random choices? You might get really luck and guess it on the first try. Or you might get really unlucky and not guess it until your 100th try. On average though, you'll guess it after about 50 tries.
Can anybody think of a better way? What if I was willing to tell you if you were too high or too low? Now you can guess in a smart way. Your first guess should be 50, so that even if you're wrong, you've made the problem only half as hard as it was before. Your next guess should be 25 or 75, so that you continue to cut the problem in half.
Can anybody guess how many guesses you would need, at most, to guess if you use this strategy? Lets make an ordered list:
50, 25, 13, 7, 4, 2, 1. Each time I cut the problem in half, and after seven cuts I got the problem down to just a single answer.

Do you remember exponents?

2 ^ 2 = "two squared" = "two to the power of 2" = 2 x 2 = 4
2 ^ 3 = "two cubed" = "two to the power of 3" = 2 x 2 x 2 = 8
2 ^ 4 = "two to the fourth" ="two to the power of 4" = 2 x 2 x 2 x 2 = 16
2 ^ 5 ="two to the fifth" = "two to the power of 5" = 2 x 2 x 2 x 2 x 2 = 32
2 ^ 6 ="two to the sixth" = "two to the power of 6" = 2 x 2 x 2 x 2 x 2 x 2 = 64
2 ^ 7 ="two to the seventh" = "two to the power of 7" = 2 x 2 x 2 x 2 x 2 x 2 x 2 = 128
2 ^ 7 = 128. In our problem, we found the answer to "pick a number from 1 - 100" in seven steps. Do you think these are related? If I told you to pick a number from 1-50, how many tries would you need to get the right answer? 6 right? And if the number was just between 1 and 8, we should get 3. Lets try to be sure. Try 1) guess 4, Try 2) guess 2 or 6, Try 3) guess 1 or 3 or 5 or 7 and get it right.
This is called binary search. "Binary" just means two things. The two things, in this case, are when we split a problem into two pieces. You can solve any binary search problem in "the number of steps that is the exponent to get to the size of the set of numbers you're searching." That's confusing, so people use another word for this: Logarithm.

Logarithm - the value of the exponent you need to be to get to some other number


The logarithm of 4 is 2 because 2 to the power of 2 is 4.. The logarithm of 8 is 3 because 2 to the power of 3 is 8. The logarithm of 16 is 4 because 2 to the power of 4 is 16. The logarithm of 32 is 5, etc.
Another way to remember what logarithms is to think of them as the "opposite" of exponents, just like the opposite of addition is subtraction and the opposite of multiplication is division. The opposite of an exponent is the logarithm.

Where are logarithms used?


The Richter Scale for earthquakes is a logarithm. A 7.0 earthquake is MUCH worse than a 6.0, which is MUCH worse than a 5.0, etc.
Sound is measured in decibels, which is a logarithm. Jet Engines are way way way louder than talking.
Computers use binary search to find things all the time, so knowing the logarithm becomes very important to knowing how long something will take.
People who look at the stock market over long periods of time use logarithm graphs. Otherwise all of the movement that happened 100 years ago get completely hidden but the much larger movements today.

image.png
vs
image.png



Want to print your doc?
This is not the way.
Try clicking the ⋯ next to your doc name or using a keyboard shortcut (
CtrlP
) instead.