Skip to content

Bachelor 's Project

“Hydrothermal of Cellulose with Er(OTf)3 Solid Catalyst and [BMIM]Cl Ionic Liquid”


PART-I INTRODUCTION

CE 1.1
During my Bachelor’s degree in Chemical Engineering at King Mongkut's Institute of Technology Ladkrabang (KMITL), I undertook a significant research project titled "Hydrothermal of Cellulose with Er(OTf)3 Solid Catalyst and [BMIM]Cl Ionic Liquid", conducted from June 2015 to June 2016. This work was part of my final year project at KMITL.
KMITL is one of Thailand's leading research and educational institutions, known for its strong emphasis on engineering, science, and technology. It is located in the Lat Krabang District of Bangkok and comprises nine faculties, including engineering, architecture, science, and industrial education. The Faculty of Engineering, where I completed my studies, is one of the largest engineering faculties in the country, renowned for its cutting-edge research and collaboration with industry.

PART-II BACKGROUND
CE 1.2
This project was driven by concerns over the depletion of petroleum resources and the environmental impact of plastics. The research aimed to develop a feasible method for synthesising lactic acid from cellulose, a major component of agricultural waste, which is a key industry in Thailand, under milder conditions by utilising ionic liquids to liquefy cellulose.
One of the primary challenges in this project was that cellulose powder, the main reactant, is not soluble in water, which necessitated high reaction temperatures. To address this challenge, I introduced 1-butyl-3-methylimidazolium chloride ([BMIM]Cl) ionic liquid as a solvent to liquefy cellulose. This approach aimed to lower the energy requirements by promoting the reaction at reduced temperatures. The ultimate goal of the project was to produce lactic acid through hydrothermal reactions under milder conditions, thereby aligning with sustainable practices in chemical engineering.
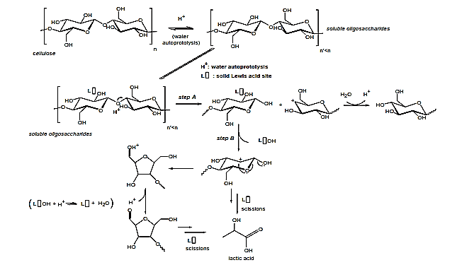
The project was conducted under specific experimental parameters. I investigated the hydrothermal reaction within a temperature range of 150°C to 200°C, adjusted the catalyst-to-cellulose mass ratio from 0.1:1 to 1:1, and studied reaction times from 0 to 45 minutes. The experiments were carried out in an autoclave reactor, pressurised with 5 bar of nitrogen and stirred at 200 rpm to ensure proper mixing and reaction efficiency. The hydrothermal reaction of cellulose using solid catalyst is demonstrated as Figure 1 below.
image.png
Figure 1. Hydrothermal reaction of cellulose for lactic acid production using a acid solid catalyst [1].
CE 1.3
The primary objectives of this project were as follows:
To synthesise lactic acid from cellulose using a hydrothermal reaction with a heterogeneous acid catalyst, specifically Erbium triflate or Er(OTf)3.
To optimise the reaction parameters, including temperature, catalyst-to-cellulose ratio, and reaction time, in order to maximise lactic acid yield.
To evaluate the effectiveness of [BMIM]Cl ionic liquid in liquefying cellulose.
This project contributed to the broader context of renewable chemical production and green chemistry, addressing global environmental challenges and aligning with sustainable industrial practices.
CE 1.4
I was part of a research team under the supervision of Dr. Tanawan Pinnarat, a professor in the Chemical Engineering Department at King Mongkut's Institute of Technology Ladkrabang (KMITL). I collaborated closely with other undergraduate researcher. Below is an organisational chart highlighting my position within the project:
image.png
Figure 2. Organisational chart
PART-III PERSONAL ENGINEERING ACTIVITY
CE 1.5
My key duties and responsibilities in the project included:
Before starting the project, I researched and analysed relevant theories, including hydrothermal reactions, catalysts for hydrothermal reactions producing lactic acid, and the solubility of cellulose in ionic liquids.
I then designed and set up the experiments for the hydrothermal reactions of cellulose with ionic liquids.
My responsibilities also included preparing and handling chemical substances, such as ionic liquids, heterogeneous acid catalysts, cellulose powder, and product samples. This required knowledge of safety protocols and chemistry practices.
I conducted experiments using high-temperature reactors, ensuring all safety protocols were followed rigorously.
To analyse the products from the hydrothermal reactions, I utilised the High-Performance Liquid Chromatography (HPLC) tool and adjusted the reaction conditions based on the data.
I reported regularly to my supervisor, Dr. Tanawan Pinnarat, and participated in discussions to refine the experimental process and enhance the overall efficiency of the reactions.
This role required a combination of technical skills, problem-solving abilities, and a strong commitment to safety and accuracy in the laboratory setting.
CE 1.6
My role in the project involved conducting experiments with an autoclave reactor to perform batch reactions and utilising High-Performance Liquid Chromatography (HPLC) to analyse lactic acid yield. The experimental conditions I studied included temperature ranges from 150°C to 200°C, catalyst-to-cellulose mass ratios from 0.1:1 to 1:1, and reaction times from 0 to 45 minutes. These experiments were carried out under controlled conditions, with a stirring rate of 200 rpm and an initial nitrogen pressure of 5 bar, to ensure consistency across trials.
As mentioned above, one of the challenges of the cellulose hydrothermal reaction is the requirement for high temperatures. In this project, I applied my chemical engineering knowledge and skills to design and optimise the hydrothermal reaction process for converting cellulose into lactic acid using ionic liquids.
My understanding of reaction kinetics, catalysis, and process optimisation was crucial in setting up the experimental framework and interpreting the results. Below are simplified cellulose structure and cellulose dissolution in an ionic liquid.
image.png
Figure 3. Simplified illustration of cellulose dissolution in an ionic liquid
image.png
Figure 4. Experimental process
CE 1.7
As part of my responsibilities in this project, I employed my engineering skills to set up and conduct the experiments. This involved calculating the precise amounts of the heterogeneous acid catalyst (Er(OTf)3) and the ionic liquid ([BMIM]Cl) needed for each reaction. Using my knowledge of chemical engineering principles, I calculated the required mass of each component based on fixed mass ratios relative to the amount of cellulose used as a substrate (0.33 grams). These calculations ensured that the correct proportions were maintained for optimal reaction conditions.
I used the following tables to determine the mass of the catalyst and ionic liquid:
Table 1: Mass of Catalyst Used in Experiments (with Cellulose Mass Fixed at 0.33 grams)
image.png
Table 2: Mass of Ionic Liquid Used in Experiments (with Cellulose Mass Fixed at 0.33 grams)
image.png
These calculations were essential in ensuring the accuracy and repeatability of the experiments. After preparing the substances, I carefully mixed the catalyst, cellulose, and ionic liquid, and loaded them into the autoclave reactor. I utilised my knowledge of reactor process control to adjust the temperature, pressure, and stirring rate according to the experimental design. Throughout this process, I followed strict safety protocols to manage the high-temperature and high-pressure conditions within the autoclave reactor, ensuring the safe and efficient conduct of the experiments.
CE 1.8
I began my experimental work by investigating the effect of temperature on lactic acid yield. This involved running batch reactions at different temperatures to determine the optimal conditions for the hydrothermal conversion of cellulose. After establishing the impact of temperature, I moved on to exploring the effect of reaction time and the catalyst-to-cellulose mass ratio. The systematic variation of these parameters was crucial in optimising the process.
image.png
Figure 5. Effect of temperature
image.png
Figure 6. Effect of time
image.png
Figure 7. Effect of catalyst mass ratio

CE 1.9
Through these iterative experiments, I demonstrated that higher temperatures and longer reaction times, combined with an increased catalyst-to-cellulose ratio, could significantly improve lactic acid yield. By optimising these reaction conditions, I achieved the desired chemical reaction at milder conditions, which contributed to reducing energy consumption and improving the sustainability of the process.
CE 1.10
After optimising the basic reaction conditions, I proceeded to examine the effect of [BMIM]Cl ionic liquid on the reaction. I conducted a comparative study between reactions with and without the ionic liquid under otherwise identical conditions. The introduction of the ionic liquid showed an improvement in lactic acid yield.
image.png
Figure 8. The comparison between the reaction with and without ionic liquid
SUMMARY
This project marked a significant step in sustainable chemical processes using renewable resources. The goal of synthesising lactic acid from cellulose via hydrothermal reactions with a heterogeneous acid catalyst and ionic liquid was successfully achieved. Er(OTf)₃ proved effective in converting cellulose to lactic acid, and yields improved under optimal conditions, such as higher temperature, longer reaction times, and increased catalyst amounts. Introducing the [BMIM]Cl ionic liquid further enhanced yields, enabling the reaction to proceed efficiently under milder conditions.
I played a key role in designing experiments, overcoming technical challenges, and optimising reaction parameters. Through systematic testing, I demonstrated the feasibility of lactic acid production under lower-energy conditions, advancing the project's objectives.
This experience strengthened my technical expertise, problem-solving skills, and teamwork, reinforcing my commitment to sustainable engineering. The project successfully met its goals and opened new avenues for innovation in renewable chemical production.
REFERENCE
[1] X. Lei, F.-F. Wang, C.-L. Liu, R.-Z. Yang, and W.-S. Dong, “One-pot catalytic conversion of carbohydrate biomass to lactic acid using an ErCl3 catalyst,” Applied Catalysis A: General, vol. 482, pp. 78–83, Jul. 2014.
Want to print your doc?
This is not the way.
Try clicking the ··· in the right corner or using a keyboard shortcut (
CtrlP
) instead.